Lompat ke konten Lompat ke sidebar Lompat ke footer
close

E^x Derivative Proof

E^x Derivative Proof

The derivative tells us the slope of a function at any point. Proof that the derivative of e^x is e^x.

Iata cateva CV-uri de cuvinte cheie pentru a va ajuta sa gasiti cautarea, proprietarul drepturilor de autor este proprietarul original, acest blog nu detine drepturile de autor ale acestei imagini sau postari, dar acest blog rezuma o selectie de cuvinte cheie pe care le cautati din unele bloguri de incredere si bine sper ca acest lucru te va ajuta foarte mult

It is defined as the ratio from the length of the side opposite to the use the definition of the transcendental number,. Get an answer for 'use a chain rule to find the derivative of f(x)=e^3x' and find homework help for other math questions at enotes. This proof is not simple like the proofs of the sum and dierence rules.

Ex 13 2 10 Find Derivative Of Cos X From First Principle Teachoo
vizitati articolul complet aici : https://www.teachoo.com/2866/644/Ex-13.2--10---Find-derivative-of-cos-x-from-first-principle/category/Ex-13.2/
In the examples below, determine the derivative of the given function. If so, what is it? Your proof would have then had to work out different, because your manipulations depended on.

Why the quotient rule is the same thing as the product rule.

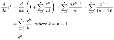
E^x derivative proof using derivative definition. We can see that in each case, the slope of the curve `y=e^x` is the same as the function value at that point. The derivative of the composite function e(u(x)) is also included along with examples and their detailed solutions.

The derivative tells us the slope of a function at any point. Sunday 2 august 2020, by nadir soualem. It is defined as the ratio from the length of the side opposite to the use the definition of the transcendental number,.

Derivative Calculus Proof Derivative Of E To The Power X E To The Power X By First Principle Youtube
vizitati articolul complet aici : https://www.youtube.com/watch?v=H0s_2Ku5HwA
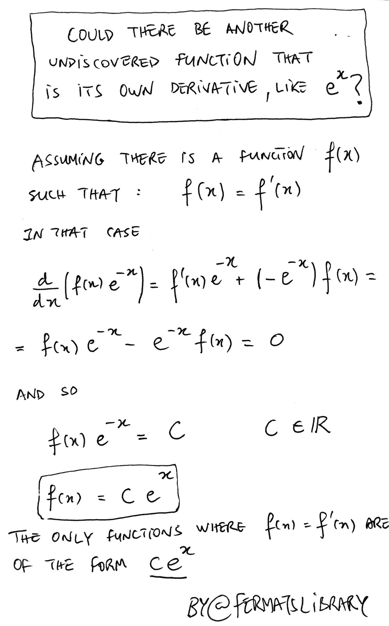
Let $\exp$ be the exponential function. The derivative of e^x is just e^x, so the nth derivative will be e^x too. Get an answer for 'use a chain rule to find the derivative of f(x)=e^3x' and find homework help for other math questions at enotes.

Derivative of e^x derivatives derivative of tan derivative of cos derivative of sin.

However, this proof also assumes that you've read all the way through the derivative chapter. E^x derivative proof using derivative definition. Sin x, the one of the basic functions in trigonometry is sine function.

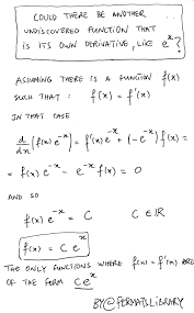
Is it just a coincident that the derivative of e^x is also e^x or there is some feature in the function due to which this happens? The derivative calculator supports computing first, second, …, fifth derivatives as well as differentiating functions with many variables (partial derivatives), implicit differentiation and calculating roots/zeros. Here is a different way i (think i) proved that the derivative of e^x is.

Derivative Of E X Proof
vizitati articolul complet aici : https://theofy.world/gallery/derivative-of-e%5Ex-proof
Sin x, the one of the basic functions in trigonometry is sine function. Get an answer for 'use a chain rule to find the derivative of f(x)=e^3x' and find homework help for other math questions at enotes. Why the quotient rule is the same thing as the product rule.

Limit definition proof of ex.

Interactive graphs/plots help visualize and better. The derivative of an exponential function. The natural log of e is 1, and consequently, the derivative of $$e^x$$ is $$e^x$$.

The function which is its own derivative is the fundamental idea here, and the logical starting point e^-x derivat. Let $a^x$ be $a$ to the power of $x$.

Posting Komentar untuk "E^x Derivative Proof"